Оценка технической эффективности отрасли за один период

Страница 2

Уравнение (2) полезно в качестве базы для оценки при более слабых предположениях о том, что (или ) считаются неизменными параметрами. Этот случай может оказаться полезным, потому что он основывается лишь на предположениях (А.1) и (А.2), а также потому что он применим, когда N мало, а T велико (равно как и при большом объеме выборки N). Оценим уравнение (2) с использованием фиктивных переменных для каждой фирмы. Получаем оценки . Определим и Тогда при и фиксированном N, , и так что измеряет эффективность относительно значения лучшей фирмы из выборки. Обсудим теперь, что случится, если N устремить к бесконечности. В условиях предположения (А.4) о полунормальном распределении (фактически возможен любой произвольный механизм генерации , при котором оказываются близки нулю с неотрицательной вероятностью), , а при . Таким образом, и , когда и N, и T стремятся к бесконечности, так что оценка эффективности проводится относительно абсолютного значения , а не его выборочного аналога.

Статистические свойства оценок достаточно сложны из-за оператора максимизации, используемого в определении , а следовательно и . Состоятельность оценок как для случая N и T была доказана Шмидтом и Сиклзом. Парк и Симар (1994), а также Кнейп и Симар (1995) исследовали степень конвергенции оценок. Однако асимптотическое распределение оценок и неизвестно, поэтому стандартные методы создания асимптотических доверительных интервалов, основанных на этих распределениях, недоступны.

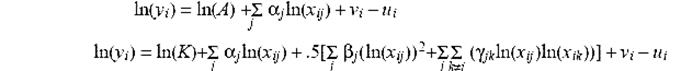
Обычно в качестве производственных функций берется одна из следующих прологарифмированных функций [9]:

Кобба-Дугласа - или

Применим полученные результаты для анализа эффективности банковского сектора. Для оценивания граничных функций издержек и альтернативной функции прибыли применим прологарифмированные функции с тремя ресурсами и тремя видами выпуска. Эта форма широко применяется и показывает необходимую гибкость при оценке предельных функций. Таким образом, граничная функция издержек банка k в момент времени t представляется следующим образом:

(10)

Эту модель с тремя ресурсами на входе и тремя видами выпуска на выходе назовем модель 1а. Здесь u и v – это неэффективность и случайная ошибка соответственно. В функции прибыли левая часть уравнения заменяется на чистую прибыль, а компонента, отвечающая за неэффективность равна –v. Такую постановку будем называть модель 2а.

Для учета влияния технологического изменения эффективности банковского сектора в России введем в рассмотрение альтернативные модели с линейным и квадратичным трендом. Вышеописанные модели назовем модель 1b и 2b, модель 1с и 2с соответственно. Технологический прогресс рассматривается как одна из движущих сил эффективности. Уровень изменения технологического прогресса можно измерить с точки зрения стоимости производства. Если произошло улучшение в технологии, фирма способна произвести тот же объем продукта дешевле при прочих равных условиях. Тогда расширенная модель затрат, названная нами модель 1с примет следующую форму:

Страницы: 1 2 3

Еще по теме:

Порядок страхования граждан при выезде за рубеж
Объектом страхования являются не противоречащие законодательству Российской Федерации имущественные интересы Застрахованного лица, связанные с дополнительными непредвиденными расходами и убытками в период временного пребывания за пределами государственной границы Российской Федерации, вызванные вне ...

Меры по совершенствованию регулирования и развития рынка ценных бумаг
Задача развития рынка ценных бумаг всегда стояла в центре внимания Правительства Российской Федерации, как одна из приоритетных в комплексе мер государственной экономической политики. С 2006 года развитие рынка ценных бумаг и деятельность ФСФР России осуществляется в рамках Стратегии развития финан ...

Составные элементы валютной системы
В Первом разделе Закона Российской Федерации "О валютном регулировании и валютном контроле" рассматриваются следующие Понятия, используемые в настоящем Законе и означающие следующее: 1. "Валюта Российской Федерации": а) находящиеся в обращении, а также изъятые или изымаемые из о ...

Главное на сайте

Copyright © 2025 - All Rights Reserved - www.banklesson.ru